登录
/
IP登录
/
注册
下载中心
强基计划流程
强基资讯
招生简章
强基计划
综合评价
农村专项
竞赛资讯
备考试题
面试题
笔试题
文科竞赛
理科竞赛
其他试题
院校库
位置 :
>2022年复旦大学强基计划测试数学试题(部分)
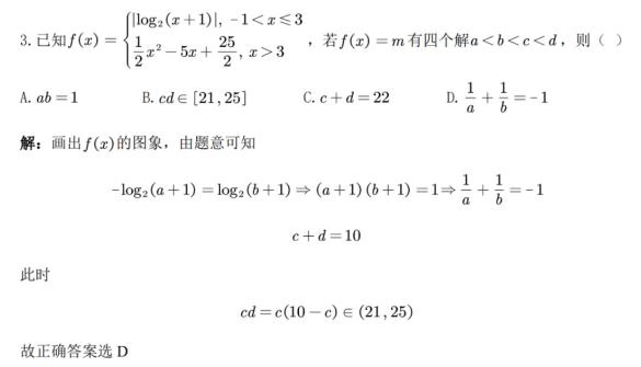
2022年复旦大学强基计划测试数学试题(部分)
点击:1
2023-05-06
来源:
声明:此内容及图片来源网络,如有侵权请联系网站管理员删除。
上一篇
下一篇
Copyright © 2015-2021 Jtyhjy Inc. All Rights Reserved
赣ICP备17012273号-1
赣公网安备 36010802000190号
江西多宝格教育咨询有限公司
赣ICP备17012273号